A cualquier científico le gusta que le pregunten con qué está jugando. Por lo tanto, le gustará responder, siempre y cuando un molesto compromiso de confidencialidad no se lo impida. Y, además, le gustará que su receptor le entienda. Como consecuencia, numerosos investigadores en todo el mundo se dan el gustazo de divulgar sus actividades o descubrimientos. Algunos incluso cobran por ello.

Excepto si estás desarrollando una máquina del tiempo. No friki. Phuwan.
El grupo del que formo parte lleva dos años y medio cationizando celulosa. Y no solamente celulosa pura, de la que se vende como un polvo blanco o como un montón de fibras blancas a laboratorios e industrias. Eso es jugar en modo Easy. También cationizamos residuos agrícolas después de quitarles la mayor parte de su lignina, que generalmente complica las cosas. Con las fibras cationizadas hacemos papel e intentamos convencer al MINECO, a la industria papelera y a los editores de revistas científicas de que todo esto sirve para algo.
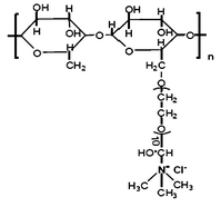
No puedo decir qué es la cationización de celulosa sin decir que las fibras celulósicas (sin modificar), cuando están suspendidas en agua, presentan una carga (eléctrica) negativa.
Claro, claro: no es un compuesto iónico. Es evidentemente covalente. Es un polímero formado por numerosas unidades de glucosa, cada cual se presenta girada 180º respecto a la unidad anterior. A esto lo llaman enlace beta-1,4 glucosídico, que viene a significar «cada cual se presenta girada 180º respecto a la unidad anterior».

Aquí no hay iones, pero los -OH tienen cierta tendencia a ionizarse, de modo que en cada instante habrá una carga negativa sobre ciertos átomos de oxígeno. Aun así, la tendencia a ionizarse de los grupos -OH es mucho menor que la tendencia a ionizarse de los grupos -COOH.
Y hemos dicho que la celulosa no suele estar sola. Desde luego, las fábricas de papel de impresión o de embalaje no utilizan aquella celulosa en polvo que comentaba al principio. El papel se rompería al escribir sobre él o, si eres G.R.R. Martin, antes de que decidas escribir sobre él de una vez. La pureza no va de la mano de la resistencia mecánica.

La paja de trigo es una de las cosas que hemos cationizado.
Junto a la celulosa hay ácidos urónicos y algunos ácidos alifáticos: sustancias que poseen grupos -COOH. Además, la lignina tiene cargas negativas per se, aquí y allá y no sé dónde, porque su estructura es bastante anárquica.

Así describía yo la lignina en un póster: dado lo que hago, no me cae bien. Pero se pueden hacer cosas increíbles con ella, como dispersantes o adhesivos. Die Natur ist wunderbar!
Ciertamente, el papel blanco para impresión/escritura tiene una cantidad de lignina bajísima, residual, y tampoco abundan en él los ácidos. Sin embargo, la contribución de estas pequeñas cantidades de grupos -COOH a la carga eléctrica en suspensión acuosa no se puede despreciar. La carga que llevarán las fibras en agua será siempre negativa, nunca positiva.
Excepto si las modificamos químicamente. That’s my job.
Los grupos -OH de las unidades de glucosa, especialmente el que está fuera del ciclo (el unido al «carbono 6»), pueden ser sustituidos por un grupo mucho más voluminoso pero que, en vez de proporcionar una pequeña carga negativa por ionización, es permanentemente positivo:

Hay variantes, pero la carga positiva siempre está sobre el nitrógeno.
«¿Y todo este rollo para qué?», espetaría un muy respetable votante de Ciudadanos.
Einstein decía que el científico encuentra el placer en el descubrimiento, no en las posibilidades de aplicación de ese descubrimiento. «Pero un ingeniero siempre debe…», me replicó en una ocasión un profesor. Claro. Sí, soy ingeniero. De todas formas, esto tiene aplicaciones factibles y en la literatura científica hay unos cuantos ejemplos. En general, el enfoque se sitúa sobre la industria textil (algodón catiónico), para reducir las cantidades de electrolitos y/o de tintes aniónicos que se emplean. Dicho de otro modo, es una forma de disminuir el impacto ambiental.
Pues bien: si para la industria textil sirve la celulosa cationizada, ¿por qué no va a servir para el papel? Al igual que con el algodón, también se usan pigmentos que pueden ser aniónicos. Y, además, sustancias minerales que tienen un potencial negativo en su superficie. Como sabía Coulomb y ahora sabe cualquiera, negativo con negativo = repulsión.

Imagen de microscopio: partículas de carbonato de calcio sobre fibras. Fuente.
Para mejorar la retención de esas sustancias que son repelidas en una suspensión normal de fibras celulósicas, en las fábricas de papel se utilizan aditivos no biodegradables, frecuentemente derivados del petróleo y con carga positiva.
Nuestra hipótesis es que cationizar previamente una parte de las fibras evita o reduce la necesidad de aditivos de retención y de fuerza. De momento, voy adelantando que con la retención estamos acertando. La reducción del impacto ambiental se muestra más visible si digo que estas fibras catiónicas proceden de residuos. Mejor que quemarlos, contaminar el aire, dañar el suelo y arriesgarse a producir un incendio… es, al menos. Mejor que eso… es.
Llevo tantas entradas en este mi blog… ¡y nunca me había puesto a divulgar mi propio trabajo de investigación! Espero haber aportado mi granito de arena a esa parte de la comunidad hispanohablante que quiere saber sobre ciencia, sobre la investigación o, por supuesto, sobre mí.
Pero reconozco que la razón principal por la que publico esta entrada es otra. Ahora, cada vez que alguien me pregunte qué demonios hago con mi vida, le podré remitir a mi blog.